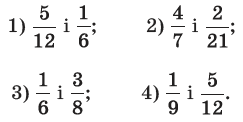
Завдання:
Знайди найменший спільний знаменник дробів:

Розв'язок:
1) 12 = 2 ∙ 2 ∙ 3; 6 = 2 ∙ 3
НСК (12; 6) = 2 ∙ 2 ∙ 3 = 12
2) 7 = 7 ∙ 1; 21 = 3 ∙ 7
НСК (7; 21) = 3 ∙ 7 = 21
3) 6 = 2 ∙ 3; 8 = 2 ∙ 2 ∙ 2
НСК (6; 8) = 2 ∙ 2 ∙ 2 ∙ 3 = 24
4) 9 = 3 ∙ 3; 12 = 2 ∙ 2 ∙ 3
НСК (9; 12) = 2 ∙ 2 ∙ 3 ∙ 3 = 36
