Завдання:
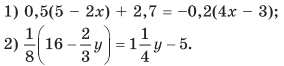
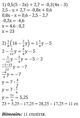
Розв’яжи рівняння. Знайди значення виразу x + y – 17,25 та дізнаєшся, у якому столітті було засновано місто Білопілля Сумської області.

Розв'язок:

Розв’яжи рівняння. Знайди значення виразу x + y – 17,25 та дізнаєшся, у якому столітті було засновано місто Білопілля Сумської області.


