Завдання:
Склади числовий вираз та знайди його значення:
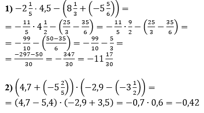
1) різниця добутку чисел -2 1/5 і 4,5 та суми чисел 8 1/3 і -5 5/6;
2) добуток суми чисел 4,7 і -5 2/5 та різниці чисел -2,9 і -3 1/2.
Розв'язок:

Склади числовий вираз та знайди його значення:
1) різниця добутку чисел -2 1/5 і 4,5 та суми чисел 8 1/3 і -5 5/6;
2) добуток суми чисел 4,7 і -5 2/5 та різниці чисел -2,9 і -3 1/2.
