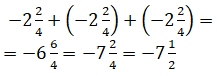
Завдання для перевірки знань до § 31–35 № 1 - 12 Завдання № 10 Завдання: Запиши число -7 1/2 у вигляді суми трьох рівних доданків. Розв'язок: Завдання № 9 Завдання № 9 Завдання № 11 Завдання № 11