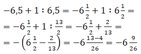
Завдання для перевірки знань до § 31–35 № 1 - 12 Завдання № 9 Завдання: Знайди суму, доданками якої є числа: обернене й протилежне до числа 6,5. Розв'язок: Завдання № 8 Завдання № 8 Завдання № 10 Завдання № 10