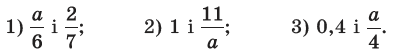
Завдання для перевірки знань до § 9–14 № 1 - 12 Завдання № 10 Завдання: Знайди таке значення a, щоб були взаємно оберненими числа: Розв'язок: Завдання № 9 Завдання № 9 Завдання № 11 Завдання № 11