ДОМАШНЯ САМОСТІЙНА РОБОТА № 3
(сторінка №109-110)
- Виконай множення $\frac{1}{7}$ · $\frac{14}{15}$.
Розв'язок:
А. $\frac{1}{30}$
Б. $\frac{1}{15}$
В. $\frac{2}{15}$✅
Г. $\frac{7}{15}$ - Виконай ділення $\frac{2}{3}$ : $\frac{8}{9}$.
Розв'язок:
А. $\frac{3}{8}$
Б. $\frac{3}{4}$✅
В. 1$\frac{1}{3}$
Г. $\frac{16}{27}$ - Оленка спекла 60 пиріжків, з яких $\frac{8}{15}$ — з вишнями. Скільки пиріжків з вишнями спекла Оленка?
Розв'язок:
60 · $\frac{8}{15}$ = 60 : 15 · 8 = 4 · 8 = 32(п.) – з вишнями спекла Оленка.
А. 8
Б. 24
В. 28
Г. 32✅ - Знайди добуток 4$\frac{1}{2}$ ⋅ 3$\frac{1}{3}$.
Розв'язок:
А. 15✅
Б. 12$\frac{1}{6}$
В. 16
Г. 12 - Знайди частку 7$\frac{1}{3}$ : 2.
Розв'язок:
А. 3$\frac{1}{3}$
Б. 3$\frac{2}{3}$✅
В. 3$\frac{1}{2}$
Г. 14$\frac{2}{3}$ - Магазин за день продав 120 кг бананів, що становить $\frac{4}{3}$ усієї кількості бананів, що були в магазині. Скільки кілограмів бананів було в магазині?
Розв'язок:
120 : $\frac{3}{4}$ = 120 · $\frac{4}{3}$ = 40 · 4 = 160 (кг) – бананів було в магазині.
А. 180 кг
Б. 90 кг
В. 160 кг✅
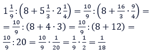
Г. 150 кг - Знайди значення виразу 1$\frac{1}{9}$ : (8 + 5$\frac{1}{3}$ ⋅ 2$\frac{1}{4}$).
Розв'язок:
А. 18
Б. 22$\frac{2}{9}$
В. $\frac{1}{9}$
Г. $\frac{1}{18}$✅ - Розв’яжи рівняння 4$\frac{1}{8}$ - 2$\frac{7}{12}$ х = 2$\frac{5}{6}$.
Розв'язок:
А. $\frac{1}{2}$✅
Б. 2
В. $\frac{1}{4}$
Г. 2$\frac{43}{62}$ - Учень планував на канікулах розв’язати 60 вправ з математики. Першого дня він розв’язав $\frac{2}{15}$ від цієї кількості вправ, а другого дня — $\frac{4}{13}$ від решти. Скільки вправ залишилося розв’язати учневі?
Розв'язок:
1) 60 · $\frac{2}{15}$ = 60 : 15 · 2 = 4 · 2 = 8 (впр.) – розв’язав учень першого дня.
2) 60 – 8 = 52 (впр.) – решта.
3) 52 · $\frac{4}{13}$ = 52 : 13 · 4 = 4 · 4 = 16 (впр.) – розв’язав учень другого дня.
4) 60 – (8 + 16) = 60 – 24 = 36 (впр.) – залишилося розв’язати.
А. 30
Б. 35
В. 36✅
Г. 32 - Числа $\frac{5}{a}$ і 0,6 — взаємно обернені. Знайди a.
Розв'язок:
А. 2
Б. 3✅
В. 4
Г. 6 - Одне із чисел становить $\frac{2}{7}$ від іншого, а сума цих чисел дорівнює 27. Знайди менше з невідомих чисел.
Розв'язок:
А. 6 ✅
Б. 7
В. 14
Г. 21 - Два робітники, працюючи разом, можуть виконати певну роботу за 16 годин. Один з них, працюючи самостійно, може виконати цю роботу за 24 години. За скільки годин її може виконати другий робітник, працюючи самостійно?
Розв'язок:
Отже, другий робітник може виконати цю роботу самостійно за 48 годин.
А. 38 год
Б. 40 год
В. 45 год
Г. 48 год✅
