ДОМАШНЯ САМОСТІЙНА РОБОТА № 4
(сторінка №153-154)
- У пропорції 10 : 2 = 15 : 3 назви середні члени.
Відповідь:
А. 2 і 3
Б. 2 і 15✅
В. 10 і 15
Г. 10 і 3 - За кілька однакових олівців заплатили 8 грн. Скільки потрібно заплатити за такі самі олівці, якщо їхня кількість буде удвічі меншою?
Розв'язок:
8 : 2 = 4
Відповідь:
А. 2 грн
Б. 4 грн✅
В. 6 грн
Г. 16 грн - Визнач масштаб карти, якщо 1 см на карті — це 2 км на місцевості.
Розв'язок:
2 км = 2000 м = 200 000 см.
Відповідь:
А. 1 : 200 000✅
Б. 1 : 20 000
В. 1 : 2 000 000
Г. 1 : 2000 - Знайди відношення 2 см до 1 дм.
Розв'язок:
2 см : 1 дм = 2 см : 10 см = 1 : 5
Відповідь:
А. 2 : 1
Б. 5 : 1
В. 1 : 10
Г. 1 : 5✅ - На плані земельної ділянки з масштабом 1 : 2000 відстань між двома точками дорівнює 5,7 см. Якою буде відстань між відповідними точками на місцевості?.
Розв'язок:
1 см на карті відповідає 2000 см = 20 м на місцевості, тому:
5,7 ∙ 20 = 114 (м)
Відповідь:
А. 11,4 м
Б. 57 м
В. 114 м✅
Г. 1140 м - За 2,5 год турист подолав 11,5 км. Яку відстань подолає турист за 3,5 год, якщо рухатиметься з тією самою швидкістю?
Розв'язок:
2,5 год – 11,5 км
3,5 год – х км
$\frac{2,5}{3,5}$ = $\frac{11,5}{x}$
2,5х = 40,25
х = 40,25 : 2,5
х = 16,1 (км)
Відповідь:
А. 16,1 км✅
Б. 15,1 км
В. 17,1 км
Г. 18,1 км - Заміни відношення дробових чисел $\frac{2}{15}$ : $\frac{1}{9}$ відношенням натуральних чисел.
Розв'язок:
18 : 15 = 6 : 5
Відповідь:
А. 5 : 6
Б. 5 : 3
В. 3 : 5
Г. 6 : 5✅ - Периметр трикутника дорівнює 48 см, а довжини його сторін відносяться як 3 : 4 : 5. Знайди довжину найкоротшої сторони трикутника.
Розв'язок:
Нехай 3х см – перша сторона, 4х см – друга, 5х см – третя, тоді:
3х + 4х + 5х = 48
12х = 48
х = 48 : 12
х = 4 (см) – перша частина.
3х = 3 ∙ 4 = 12 (см) – довжина найкоротшої сторони трикутника.
Відповідь:
А. 4 см
Б. 12 см✅
В. 16 см
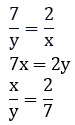
Г. 20 см - Знайди відношення x до y, якщо $\frac{7}{y}$ = $\frac{2}{x}$.
Розв'язок:
Відповідь:
А. 14 : 1
Б. 1 : 14
В. 7 : 2
Г. 2 : 7✅ - Розв’яжи рівняння $\frac{(x-1)}{9}$ = $\frac{2}{3}$.
Розв'язок:
Відповідь:
А. 5
Б. 6
В. 7✅
Г. 8 - Як зміниться відношення a : b, якщо a збільшити в 6 разів, а b зменшити у 2 рази?
Розв'язок:
6 ∙ a : b : 2 = 12a : b
Відповідь:
А. збільшиться у 3 рази
Б. збільшиться у 8 разів
В. збільшиться у 12 разів✅
Г. збільшиться в 4 рази - Відстань між двома містами на одній карті дорівнює 1,6 см, а на другій — 3,2 см. Масштаб другої карти 1 : 2 000 000. Знайди масштаб першої карти.
Розв'язок:
3,2 см ⋅ 2 000 000 = 6 400 000 см = 64 км - реальна відстань
На першій карті цій самій відстані відповідає 1,6 см, отже 1 см відповідає:
64 км : 1,6 = 40 км = 4 000 000 см.
Тому масштаб першої карти 1 : 4 000 000.
Відповідь:
А. 1 : 4 000 000✅
Б. 1 : 1 000 000
В. 1 : 8 000 000
Г. 1 : 16 000 000
