ДОМАШНЯ САМОСТІЙНА РОБОТА № 9
(сторінка №117-118)
- Виконай ділення –12 : 6.
А. 6
Б. –6
В. –2✅
Г. 2 - Знайди корінь рівняння x + 3 = –2.
Розв'язок:
х = -2 - 3 = -5
А. 1
Б. –5✅
В. -$\frac{2}{3}$
Г. –1 - Перше з двох чисел на 3 менше за друге. Менше із чисел позначили через x. Вирази через x друге число.
А. x + 3✅
Б. x – 3
В. 3 · x
Г. x : 3 - Обчисли (-$\frac{3}{4}$)2.
А. $\frac{9}{16}$✅
Б. -$\frac{9}{16}$
В. -$\frac{6}{8}$
Г. $\frac{3}{16}$ - Розв’яжи рівняння:
.
Розв'язок:
А. -3$\frac{3}{5}$
Б. -2✅
В. 2
Г. 3$\frac{1}{3}$ - 24 яблука розклали в кошик і ящик так, щоб яблук у ящику було вдвічі більше, ніж у кошику. Скільки яблук поклали в кошик?Розв'язок:
х + 2х = 24
3х = 24
х = 8 (яб.) – у кошику.
А. 12
Б. 10
В. 8✅
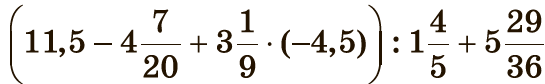
Г. 6 - Знайди значення виразу
.
Розв'язок:
А. –36
Б. 36
В. 42
Г. –42✅ - Розв’яжи рівняння
.
Розв'язок:
0,2(х – 5) = 0,3(5 – х) – 4,5
0,2х – 1 = 1,5 – 0,3х – 4,5
0,2х + 0,3х = 1,5 – 4,5 + 1
0,5х = -2
х = -2 : 0,5
х = -4
А. –1
Б. 1
В. –4✅
Г. 4 - Велосипедистка долає відстань від міста до села за 2,5 год, а пішохід – за 6 год. Знайди швидкість велосипедистки, якщо вона на 7 км/год більша за швидкість пішохода.
Розв'язок:
1) 6х = 2,5(х + 7)
6х = 2,5х + 17,5
6х – 2,5х = 17,5
3,5х = 17,5
х = 17,5 : 3,5
х = 5 (км/год) – швидкість пішохода.
2) 5 + 7 = 12 (км/год) – швидкість велосипедистки.
А. 12 км/год✅
Б. 5 км/год
В. 14 км/год
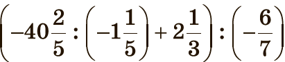
Г. 18 км/год - Знайди 20 % від значення виразу
.
Розв'язок:
А. 0,2
Б. 0,3
В. 0,4✅
Г. 0,6 - Для якого значення a рівняння (a+5)x = 4+3a має корінь, що дорівнює числу 4?
Розв'язок:
(а + 5)х = 4 + 3а
(а + 5) ⋅ 4 = 4 + 3а
4а + 20 = 4 + 3а
4а – 3а = 4 – 20
а = -16
А. –12
Б. 16
В. 12
Г. –16✅ - На першій тарілці слив було втричі менше, ніж на другій. Після того як з другої тарілки переклали до першої 3 сливи, їх там стало вдвічі більше, ніж на першій. Скільки слив було на другій тарілці спочатку?
Розв'язок:
1) х + 3х = (х + 3) + 2(х + 3)
4х = х + 3 + 2х + 6
4х – х – 2х = 9
х = 9 – на І тарілці.
2) 9 ⋅ 3 = 27 – на ІІ тарілці.
А. 27✅
Б. 24
В. 9
Г. 30
