Діагностична (контрольна) робота ДР-3 Варіант 2
(Сторінка 29)
- Виконай множення:

А. 2/13✅
Б. 1/13
В. 1/26
Г. 4/13
- Обчисли:

А. 1 1/3
Б. 75/196
В. 3/7
Г. 3/4✅
-
Учень має розв’язати 12 задач. Першого дня він розв’язав 5/6 цієї кількості. Скільки задач розв’язав учень першого дня?
А. 15
Б. 10✅
В. 8
Г. 9
12 · 5 : 6 = 2 · 5 = 10
- Велосипедист проїхав 18 км, що становить 3/5 відстані від села до міста. Яка відстань від села до міста?
А. 24
Б. 36
В. 30✅
Г. 32
![]()
- Знайди добуток:

- Знайди частку:

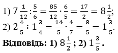
- Знайди значення виразу:

- Розв’яжи рівняння:

- З двох міст одночасно назустріч один одному вирушили два автомобілі. Швидкість одного з них 64 км/год, а другого – в 1 1/3 рази менша. Якою буде відстань між автомобілями через 1 1/10 год після початку руху, якщо відстань між містами 207 км?

Відповідь: 83,8 км.
